伟德亚热带生物多样性实验室寇一翾博士与美国加州大学欧文分校的科学家合作,在水稻群体进化基因组学研究方面取得新进展,研究成果以“亚洲稻驯化中结构变异的演化基因组研究(Evolutionary Genomics of Structural Variation in Asian Rice (Oryza sativa) Domestication)”为题,于2020年7月18日在《分子生物与进化》(Molecular Biology and Evolution)上在线发表。寇一翾博士为该文第一作者。
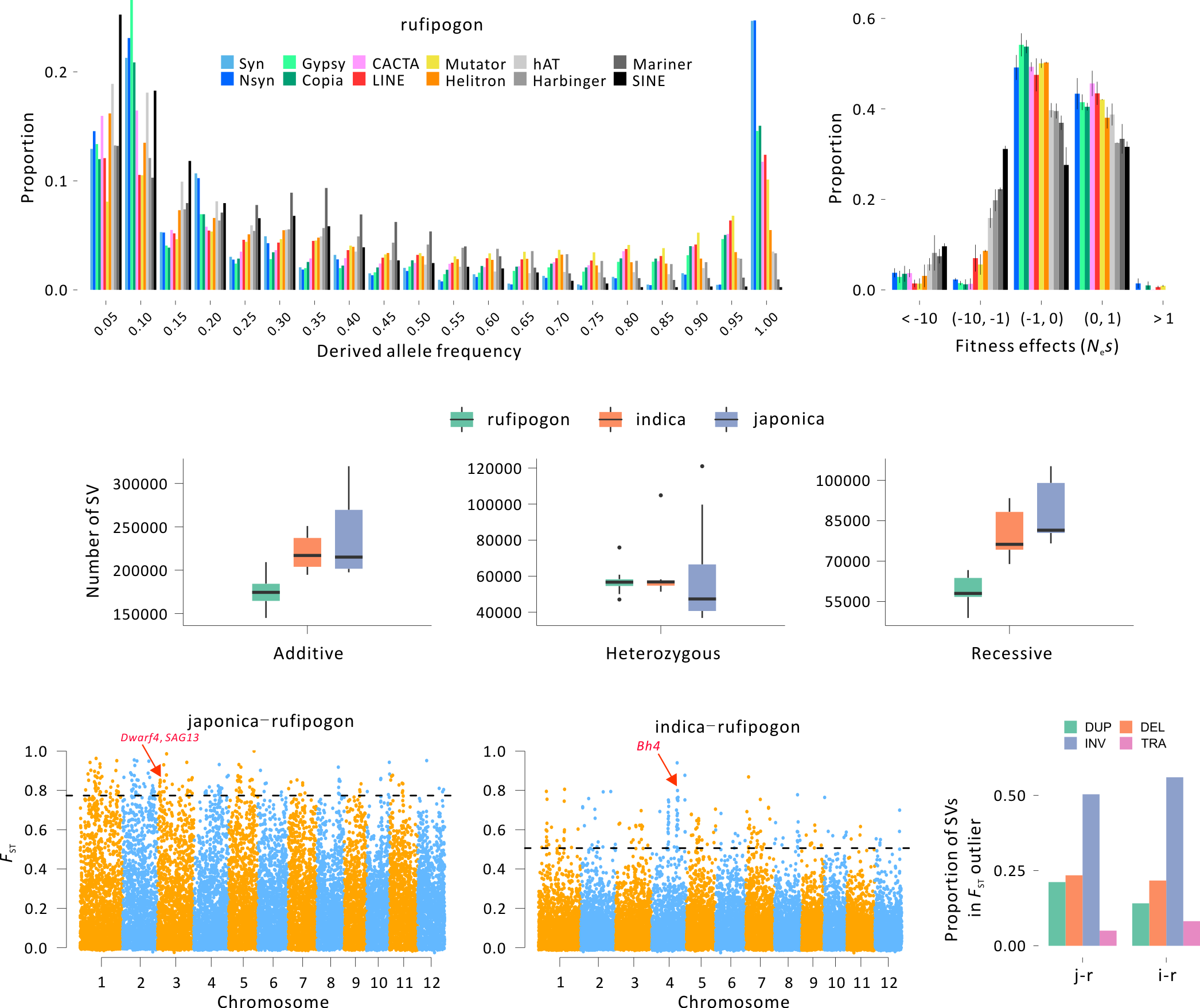
结构变异作为基因组变异的重要组成部分,对植物表型变异产生了巨大的影响,并在生产实践中得到了广泛的应用,然而从群体基因组水平上深度揭示其变化规律的研究甚少。该文以亚洲栽培稻Oryza sativa与其野生祖先种O. rufipogon为研究对象,基于基因组重测序数据(347份材料),以及三代和组装基因组数据,鉴定了水稻群体基因组水平上的结构变异,包括倒位、重复、删除、易位,以及转座元件;通过位点频谱变化规律和遗传负荷分析,揭示结构变异作用于水稻的驯化成本(domestication cost),并主要以有害突变的形式存在,尤其是倒位和转座元件SINE和mariner家族;此外,通过比较基因组分析发现,在水稻驯化过程中通过结构变异获得和丢失数百个基因,在一些显著分化的结构变异中还富集了一批与重要的农艺性状相关的基因。该研究不仅对水稻遗传育种具有重要的指导意义,同时也为植物驯化相关的研究,以及植物群体进化基因组学研究提供新的研究思路。
伟德亚热带生物多样性实验室自2007年成立以来,先后承担科研项目20余项,其中国家自然科学基金15项,在Molecular Biology and Evolution等国际著名学术刊物上发表相关研究成果近30篇,获2019年度江西省自然科学一等奖,为伟德植物学、生态学和林学等学科发展提供了支撑。

文章链接:https://academic.oup.com/mbe/advance-article/doi/10.1093/molbev/msaa185/5873527?searchresult=1
供稿:农学院 审核:科技处